题目内容
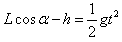
如图所示,长为2m的不可伸长的轻绳一端系于固定点O,另一端系一质量m=100g的小球,将小球从O点正下方h=0.4m处水平向右抛出,经一段时间绳被拉直,拉直绳时绳与竖直方向的夹角α=53°,以后,小球以O为悬点在竖直平面内摆动,试求在绳被拉直的过程中,沿绳方向的合力给小球的冲量。(cos53°=0.6,sin53°=0.8)
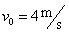
解:由于物体抛出后做平抛运动,设抛出到拉直绳时间为t,初速为v0,由平抛规律知:
,
解得:
由动量定理:
解得:
由动量定理:
练习册系列答案
相关题目