题目内容

如图所示,阴影区域是质量为M、半径为R的球体挖去一个小圆球后的剩余部分.所挖去的小圆球的球心O′和大球体球心间的距离是.求球体剩余部分对球体外离球心O距离为2R、质量为m的质点P的引力.(P在两球心O′O连线的延长线上)

答案:略
解析:

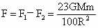
将挖去的球补上,则完整的大球对球外质点P的引力:

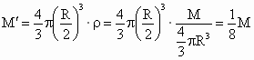
半径为的小球的质量,

补上小球对质点P的引力:

因而挖去小球的阴影部分对P质点的引力


练习册系列答案
相关题目

违法和不良信息举报电话:027-86699610 举报邮箱:58377363@163.com

精英家教网