题目内容

据报道,“嫦娥一号”预计在2006年底或2007年初发射,“嫦娥一号”将在距离月球高为h处绕月球做匀速圆周运动.已知月球半径为R,月球表面的重力加速度为g0.引力常量为G,求:

(1)

月球的质量;

(2)

“嫦娥一号”环绕月球运行的周期;

答案:
解析:

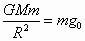
(1)

  地球表面处

  则

(2)

  卫星做圆周运动的向心力

  解得卫星的周期


练习册系列答案
相关题目

违法和不良信息举报电话:027-86699610 举报邮箱:58377363@163.com

精英家教网