题目内容
2004年1月4日,“勇气”号成功登陆火星.已知火星半径与地球半径之比R火:R地=1:2,火星质量与地球质量之比m火:m地=1:10,火星到太阳的距离与地球到太阳的距离之比r火:r地=3:2;若火星、地球绕太阳运动均可视为匀速圆周运动,则火星表面重力加速度g火与地球表面重力加速度g地之比g火:g地= ,火星绕日公转周期T火与地球绕日公转周期T地之比T火:T地= .
【答案】分析:1、星球表面的重力等于万有引力:
,得
.根据火星和地球的质量之比和半径之比,可以计算重力加速度之比.
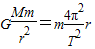
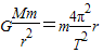
2、火星和地球绕太阳运动均可视为匀速圆周运动,根据万有引力等于向心力
,解得
.根据火星和地球绕太阳的公转半径,可计算公转周期之比.
解答:解:1、星球表面的重力等于万有引力:
,得
.
所以地球和火星表面的重力加速度分别为:
,
.
故
2、火星、地球绕太阳运动均可视为匀速圆周运动,根据万有引力等于向心力

解得
所以
=
故答案为:
,
.
点评:求解火星绕日公转周期T火与地球绕日公转周期T地之比时,也可以用开普勒第三定律
计算,而且更简洁.
2、火星和地球绕太阳运动均可视为匀速圆周运动,根据万有引力等于向心力
解答:解:1、星球表面的重力等于万有引力:
所以地球和火星表面的重力加速度分别为:
故
2、火星、地球绕太阳运动均可视为匀速圆周运动,根据万有引力等于向心力
解得
所以
故答案为:
点评:求解火星绕日公转周期T火与地球绕日公转周期T地之比时,也可以用开普勒第三定律
练习册系列答案
相关题目