题目内容
据报道,“嫦娥”一号预计在2007年发射,“嫦娥”一号将在距离月球为h高处绕月球做匀速圆周运动,已知月球半径为R,月球表面的重力加速度为g0,“嫦娥”一号环绕月球运行的周期为
A.![]()
B.![]()
C.![]()
D.![]()
答案:D
解析:
解析:
|
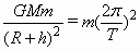
在月球表面,质量为m0的物体受月球的引力等于其重力,则 又 解①②得:T= |
练习册系列答案
相关题目
2007年9月24日,“嫦娥一号”探月卫星发射升空,实现了中华民族千年奔月的梦想.“嫦娥一号”沿圆形轨道绕月球飞行,离月球表面大约200km,目前已经给我们传回了很多有意义的科学数据;据报道,“嫦娥二号”卫星将于2009年前后发射,将在离月球表面100km的高度沿圆形轨道更加仔细、翔实的观察月球,由以上信息可知( )
| A、“嫦娥二号”比“嫦娥一号”具有更小的线速度 | B、“嫦娥二号”比“嫦娥一号”具有更大的角速度 | C、“嫦娥二号”比“嫦娥一号”具有更小的加速度 | D、“嫦娥二号”比“嫦娥一号”具有更大的周期 |