题目内容

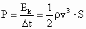
某地强风的风速约为v=20m/s,设空气密度,如果把通过横截面积的风的动能全部转化为电能,则利用上述已知量计算电功率的公式为P=_____________,大小约为_____________W.(取1位有效数字)

答案:略
解析:

取某段时间内通过横截面S的空气为研究对象,因风速与横截面积S垂直,故这部分空气的体积为,这部分空气的质量为,具有的动能为:.由题意,这部分风能全部转化为电能,故电功率,代入数据得:


练习册系列答案
相关题目

违法和不良信息举报电话:027-86699610 举报邮箱:58377363@163.com

精英家教网