ÌâÄ¿ÄÚÈÝ

£¨13·Ö£©ÈçͼËùʾ£¬ABCDΪ¹Ì¶¨ÔÚÊúÖ±Æ½ÃæÄڵĹìµÀ£¬AB¶Î¹â»¬Ë®Æ½£¬BC¶ÎΪ¹â»¬Ô²»¡£¬¶ÔÓ¦µÄÔ²ÐĽǦÈ= 370£¬°ë¾¶r=2.5m£¬CD¶ÎƽֱÇãбÇÒ´Ö²Ú£¬¸÷¶Î¹ìµÀ¾ùƽ»¬Á¬½Ó£¬Çãб¹ìµÀËùÔÚÇøÓòÓг¡Ç¿´óСΪE=2¡Ál05N/C¡¢·½Ïò´¹Ö±ÓÚб¹ìÏòϵÄÔÈÇ¿µç³¡¡£ÖÊÁ¿m=5¡Ál0-2kg¡¢µçºÉÁ¿q=+1¡Á10-6CµÄСÎïÌ壨ÊÓΪÖʵ㣩±»µ¯»Éǹ·¢Éäºó£¬ÑØË®Æ½¹ìµÀÏòÓÒ»¬ÐУ¬ÔÚCµãÒÔËÙ¶Èv0=3m/s³åÉÏб¹ì¡£ÒÔСÎïÌåͨ¹ýCµãʱΪ¼ÆÊ±Æðµã£¬0.1sÒԺ󣬳¡Ç¿´óС²»±ä£¬·½Ïò·´Ïò¡£ÒÑ֪б¹ìÓëСÎïÌå¼äµÄ¶¯Ä¦²ÁÒòÊý¦Ì=0.25¡£ÉèСÎïÌåµÄµçºÉÁ¿±£³Ö²»±ä£¬È¡g=10m/s2£®sin370=0.6£¬cos370=0.8¡£

(1)Ç󵯻Éǹ¶ÔСÎïÌåËù×öµÄ¹¦£»
(2)ÔÚб¹ìÉÏСÎïÌåÄܵ½´ïµÄ×î¸ßµãΪP£¬ÇóCPµÄ³¤¶È¡£

£¨1£©W=0.475J £¨2£©CP=0.57m

½âÎöÊÔÌâ·ÖÎö£º(1)É赯»Éǹ¶ÔСÎïÌå×ö¹¦ÎªW£¬Óɶ¯Äܶ¨ÀíµÃ     ¢Ù
´úÈËÊý¾ÝµÃW=0.475J                ¢Ú
(2)È¡ÑØÆ½Ö±Ð±¹ìÏòÉÏΪÕý·½Ïò¡£
ÉèСÎïÌåͨ¹ýCµã½øÈëµç³¡ºóµÄ¼ÓËÙ¶ÈΪa1
ÓÉÅ£¶ÙµÚ¶þ¶¨Âɵà   ¢Û
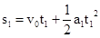
СÎïÌåÏòÉÏ×öÔȼõËÙÔ˶¯£¬¾­t1=0.1sºó£¬ËÙ¶È´ïµ½v1£¬ÓÐ
                                                   ¢Ü
ÓɢۢܿÉÖªv1=2.1m/s£¬ÉèÔ˶¯µÄÎ»ÒÆÎªs1£¬ÓÐ
                                         ¢Ý
µç³¡Á¦·´Ïòºó£¬ÉèСÎïÌåµÄ¼ÓËÙ¶ÈΪa2£¬ÓÉÅ£¶ÙµÚ¶þ¶¨ÂɵÃ
            ¢Þ
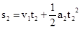
ÉèСÎïÌåÒԴ˼ÓËÙ¶ÈÔ˶¯µ½ËÙ¶ÈΪ0£¬Ô˶¯µÄʱ¼äΪt2£¬Î»ÒÆÎªs2£¬ÓÐ
                                         ¢ß
                       ¢à
ÉèCPµÄ³¤¶ÈΪs£¬ÓР s=s1+s2                           ¢á
ÁªÁ¢Ïà¹Ø·½³Ì£¬´úÈËÊý¾Ý½âµÃ  s=0.57m         ¢â
¿¼µã£º¶¯Äܶ¨Àí¡¢Å£¶ÙµÚ¶þ¶¨Âɽâ¾ö¶¯Á¦Ñ§ÎÊÌâ¡¢ÔȱäËÙÖ±ÏßÔ˶¯¹æÂÉ
µãÆÀ£º´ËÀàÌâÐÍ¿¼²ìÁËÎïÀíѧÖг£¼ûµÄ½âÌ⹤¾ß£¬±¾ÌâÐèÒª¶ÔÎïÀí¹ý³ÌÓÐÒ»¸ö½ÏÇå³þµÄÈÏʶ£¬¶ÔÓÚ¶à¹ý³ÌÎÊÌ⣬ÓÅÏÈʹÓö¯Äܶ¨Àí¡£¶ÔÓÚºãÁ¦×÷ÓõĹý³Ì¿ÉÒÔ¿¼ÂÇʹÓÃÅ£¶ÙµÚ¶þ¶¨ÂÉ¡£

Á·Ï°²áϵÁдð°¸
Ïà¹ØÌâÄ¿

Î¥·¨ºÍ²»Á¼ÐÅÏ¢¾Ù±¨µç»°£º027-86699610 ¾Ù±¨ÓÊÏ䣺58377363@163.com

¾«Ó¢¼Ò½ÌÍø