题目内容

宇航员站在一星球表面上某高处,沿水平方向抛出一个小球,经过时间t小球落到星球表面,测得抛出点与落地点之间的距离L.若抛出时的初速度增大到2倍,则抛出点与落地点之间的距离为.已知两落地点在同一水平面上,该星球的半径为R,万有引力常数为G,求该星球的质量M.

答案:略
解析:

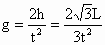
如图所示,设抛出点高度为h,第一次水平抛出时,水平射程为x,则有,当初速度增大到原来2倍时,水平射程增大到2x,则,即,设该星体表面重力加速度为g,由平抛规律得,所以


练习册系列答案
相关题目

违法和不良信息举报电话:027-86699610 举报邮箱:58377363@163.com

精英家教网