ÌâÄ¿ÄÚÈÝ

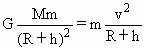
2005Äê10ÔÂ12ÈÕ£¬¡°ÉñÖÛ¡±ÁùºÅ·É´¬³É¹¦·¢É䣬13ÈÕ16ʱ33·Ö×óÓÒ£¬·Ñ¿¡ÁúÔÚ´¬²ÕÀï×ö¡°·­½î¶·¡±µÄÓÎÏ·£®Óб¨µÀ˵£¬¡°´«ËµËïÎò¿ÕÒ»¸ö½î¶·Ê®Íò°ËǧÀ¶ø·Ñ¿¡ÁúÔÚ3 minÀï·­ÁË4¸ö½î¶·£¬Ò»¸ö½î¶·351 km¡±¾Ý´Ë±¨µÀÇó³ö¡°ÉñÖÛ¡±ÁùºÅÔÚÌ«¿ÕÔ¤¶¨¹ìµÀÉÏÔËÐÐʱ£¬¾àµØÃæµÄ¸ß¶ÈÓëµØÇò°ë¾¶Ö®±È£®(ÒÑÖªµØÇò°ë¾¶Îª6400 km£¬gÈ¡10 m/s2£¬½á¹û±£ÁôÁ½Î»ÓÐЧÊý×Ö)

´ð°¸£º
½âÎö£º

¡¡¡¡£¬ÓÉ

¡¡¡¡µÃÓÖ

¡¡¡¡


Á·Ï°²áϵÁдð°¸
Ïà¹ØÌâÄ¿

Î¥·¨ºÍ²»Á¼ÐÅÏ¢¾Ù±¨µç»°£º027-86699610 ¾Ù±¨ÓÊÏ䣺58377363@163.com

¾«Ó¢¼Ò½ÌÍø