题目内容

一辆汽车以速度v行驶了的路程,接着以20km/h的速度跑完了余下的路程,若全程的平均速度是28km/h,则v是( )
A.24 km/h
B.35 km/h
C.36 km/h
D.48 km/h
【答案】分析:设全程的位移大小为3x,根据t=分别求出前后两段运动的时间表达式,再得到全程平均速度的表达式,求出v.
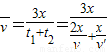
解答:解:设全程的位移大小为3x,由题得到
   全程的平均速度
代入解得   v=35km/h
故选B.
点评:本题考查对平均速度的理解和应用能力,常规题,关键抓住平均速度的定义列式.
练习册系列答案
相关题目

违法和不良信息举报电话:027-86699610 举报邮箱:58377363@163.com

精英家教网