题目内容
已知△ABC的三边a、b、c成等比数列,且(1)求cosB;(2)求△ABC的面积.
【答案】分析:(1)由
,由sinAsinC=sin2B,sin(A+C)=sinB,知
,
,由此能求出cosB.
(2)由余弦定理 b2=a2+c2-2accosB,得
,由此能求出△ABC的面积.
解答:解:(1)由
,
∵sinAsinC=sin2B,
sin(A+C)=sinB,
∴
,…(5分)
由a、b、c成等比数列,
知b2=ac,
且b不是最大边,
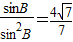
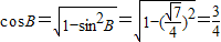
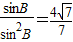
∴
,…(6分)
(2)由余弦定理 b2=a2+c2-2accosB,
得
,
得ac=2,…(11分)
∴
.…(12分)
点评:本题考查三角形的解法,解题时要认真审题,仔细解答,注意正弦定理和余弦定理的灵活运用.
(2)由余弦定理 b2=a2+c2-2accosB,得
解答:解:(1)由
∵sinAsinC=sin2B,
sin(A+C)=sinB,
∴
由a、b、c成等比数列,
知b2=ac,
且b不是最大边,
∴
(2)由余弦定理 b2=a2+c2-2accosB,
得
得ac=2,…(11分)
∴
点评:本题考查三角形的解法,解题时要认真审题,仔细解答,注意正弦定理和余弦定理的灵活运用.
练习册系列答案
相关题目
已知△ABC的三边a、b、c的长均为正整数,且a≤b≤c,若b为常数,则满足要求的△ABC的个数是( )
| A、b2 | ||||
B、
| ||||
C、
| ||||
D、
|