题目内容
已知双曲线C与双曲线(I)求双曲线C的方程及其准线方程;
(Ⅱ)若直线y=kx+1与双曲线C有唯一公共点,求k的值.
【答案】分析:(I)利用双曲线C与双曲线
有共同的渐近线,设出双曲线方程,代入P的坐标,即可求双曲线C的方程,从而可求准线方程;
(Ⅱ)直线y=kx+1与双曲线C联立,分类讨论,利用判别式,可求k的值.
解答:解:(I)设双曲线C的方程为
=λ,根据题意得
,∴λ=-1.
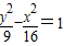
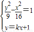
∴双曲线C的方程为
∴
∴双曲线C的准线方程为
.
(Ⅱ)由
得(16k2-9)x2+32kx-128=0,
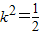
当16k2-9=0,即k=±
时,方程分别有一解,从而方程组分别有一解,符合题意;
当16k2-9≠0,即k≠±
时,由△=(32k)2+512(16k2-9)=0得
,∴
.
综上,k的值为±
和
.
点评:本题考查双曲线的标准方程,考查双曲线的几何性质,考查直线与双曲线的位置关系,考查学生的计算能力,属于基础题.
(Ⅱ)直线y=kx+1与双曲线C联立,分类讨论,利用判别式,可求k的值.
解答:解:(I)设双曲线C的方程为
∴双曲线C的方程为
∴
∴双曲线C的准线方程为
(Ⅱ)由
当16k2-9=0,即k=±
当16k2-9≠0,即k≠±
综上,k的值为±
点评:本题考查双曲线的标准方程,考查双曲线的几何性质,考查直线与双曲线的位置关系,考查学生的计算能力,属于基础题.
练习册系列答案
相关题目