题目内容
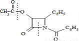
紫杉醇(paclitaxel)是一种抗癌药,化合物D是紫杉醇的侧链,D的合成路线如图甲:(1)A的合成应用了2010年诺贝尔化学奖的获奖成果--交叉偶联反应,反应式如下(已配平):
CH3COOCH2COCl+X
(2)已知酯和酰胺在过量醇中能发生醇解反应:
CH3COOC2H5+CH3OH
CH3CO
“醇解反应”的反应类型为______,B转化为C中另一产物的结构简式为______.
(3)若最后一步水解的条件控制不好,D会继续水解生成氨基酸E和芳香酸F.
①E在一定条件下能发生缩聚反应,写出所得高分子化合物的一种可能的结构简式:______;
②F的同分异构体中,属于芳香族化合物、能发生银镜反应且核磁共振氢谱有4个峰的有两种,请写出其中一种的结构简式:______.
(4)已知:①RCHO
②R′COOH
写出以甲醛和乙醛为原料合成CH3COOCH2COCl的路线流程图(无机试剂任选).合成路线流程图示例如图乙.
【答案】分析:(1)根据原子守恒,及A与CH3COOCH2COCl的结构,确定X的结构简式.
(2)根据酯和酰胺的结构以及生成的酯的结构分析解答;
由酰胺在过量醇中能发生醇解反应的信息可知,在如图
所示虚线发生化学键断裂,O原子、N原子连接甲醇中羟基中的H原子,-OCH3连接断键处的C原子;
(3)最后一步水解的条件控制不好,D会继续水解生成氨基酸E和芳香酸F,由D的结构可知,E为HOOC-CH(OH)-CH(NH2)-C6H5,F为C6H5-COOH,
①E分子中含有-COOH、-OH、-NH2,可以通过形成酯缩聚生成高聚物,也可以通过成肽键发生缩聚反应生成高聚物;
②C6H5-COOH的同分异构体中,属于芳香族化合物、能发生银镜反应,故含有苯环、醛基或是甲酸酚酯,核磁共振氢谱有4个峰,含有4种不同的H原子,据此书写;
(4)CH3COOCH2COCl中含有酯基,结合信息可知,先由CH3CHO氧化生成CH3COOH,HCHO在HCN、酸性条件下合成HOCH2COOH
,HOCH2COOH在PCl3条件下合成HOCH2COCl,再由CH3COOH与HOCH2COCl在浓硫酸、加热条件下发生酯化反应生成CH3COOCH2COCl.
解答:解:(1)CH3COOCH2COCl+X→
+HCl,X分子中含碳氮双键(C=N),应在如图
虚线所示位置是反应成键位置,故X为
,
故答案为:
;
(2)由反应方程式CH3COOC2H5+CH3OH
CH3COOCH3+C2H5OH,可知-OCH3取代-OC2H5,
CH3CO
+CH3OH
CH3COOCH3+H
,可知-OCH3取代
,故酯和酰胺在过量醇中能发生醇解反应属于取代反应,由酰胺在过量醇中能发生醇解反应的信息可知,在如图
所示虚线发生化学键断裂,O原子、N原子连接甲醇中羟基中的H原子,-OCH3连接断键处的C原子,故还生成CH3COOCH3,
故答案为:CH3COOCH3;
(3)最后一步水解的条件控制不好,D会继续水解生成氨基酸E和芳香酸F,由D的结构可知,E为HOOC-CH(OH)-CH(NH2)-C6H5,F为C6H5-COOH,
①E分子中含有-COOH、-OH、-NH2,可以通过形成酯缩聚生成高聚物,也可以通过成肽键发生缩聚反应生成高聚物,故可能的高聚物为
或
,
故答案为:
或
;
②C6H5-COOH的同分异构体中,属于芳香族化合物、能发生银镜反应,故含有苯环、醛基或是甲酸酚酯,核磁共振氢谱有4个峰,含有4种不同的H原子,符合条件的结构为
或
,
故答案为:
或
;
(4)CH3COOCH2COCl中含有酯基,结合信息可知,先由CH3CHO氧化生成CH3COOH,HCHO在HCN、酸性条件下合成HOCH2COOH
,HOCH2COOH在PCl3条件下合成HOCH2COCl,再由CH3COOH与HOCH2COCl在浓硫酸、加热条件下发生酯化反应生成CH3COOCH2COCl,故合成路线流程:
,
故答案为:
.
点评:考查有机物的推断与合成,是对有机化合物知识的综合考查,理解给出的反应信息及成分利用物质的分子结构是解题的关键,能较好的考查考生的阅读、自学能力和思维能力,是高考热点题型,难度较大.
(2)根据酯和酰胺的结构以及生成的酯的结构分析解答;
由酰胺在过量醇中能发生醇解反应的信息可知,在如图
(3)最后一步水解的条件控制不好,D会继续水解生成氨基酸E和芳香酸F,由D的结构可知,E为HOOC-CH(OH)-CH(NH2)-C6H5,F为C6H5-COOH,
①E分子中含有-COOH、-OH、-NH2,可以通过形成酯缩聚生成高聚物,也可以通过成肽键发生缩聚反应生成高聚物;
②C6H5-COOH的同分异构体中,属于芳香族化合物、能发生银镜反应,故含有苯环、醛基或是甲酸酚酯,核磁共振氢谱有4个峰,含有4种不同的H原子,据此书写;
(4)CH3COOCH2COCl中含有酯基,结合信息可知,先由CH3CHO氧化生成CH3COOH,HCHO在HCN、酸性条件下合成HOCH2COOH
,HOCH2COOH在PCl3条件下合成HOCH2COCl,再由CH3COOH与HOCH2COCl在浓硫酸、加热条件下发生酯化反应生成CH3COOCH2COCl.
解答:解:(1)CH3COOCH2COCl+X→
故答案为:
(2)由反应方程式CH3COOC2H5+CH3OH
CH3CO
故答案为:CH3COOCH3;
(3)最后一步水解的条件控制不好,D会继续水解生成氨基酸E和芳香酸F,由D的结构可知,E为HOOC-CH(OH)-CH(NH2)-C6H5,F为C6H5-COOH,
①E分子中含有-COOH、-OH、-NH2,可以通过形成酯缩聚生成高聚物,也可以通过成肽键发生缩聚反应生成高聚物,故可能的高聚物为
故答案为:
②C6H5-COOH的同分异构体中,属于芳香族化合物、能发生银镜反应,故含有苯环、醛基或是甲酸酚酯,核磁共振氢谱有4个峰,含有4种不同的H原子,符合条件的结构为
故答案为:
(4)CH3COOCH2COCl中含有酯基,结合信息可知,先由CH3CHO氧化生成CH3COOH,HCHO在HCN、酸性条件下合成HOCH2COOH
,HOCH2COOH在PCl3条件下合成HOCH2COCl,再由CH3COOH与HOCH2COCl在浓硫酸、加热条件下发生酯化反应生成CH3COOCH2COCl,故合成路线流程:
故答案为:
点评:考查有机物的推断与合成,是对有机化合物知识的综合考查,理解给出的反应信息及成分利用物质的分子结构是解题的关键,能较好的考查考生的阅读、自学能力和思维能力,是高考热点题型,难度较大.
练习册系列答案
相关题目