题目内容
如图所示的电路,灯泡L标有“6V 3.6W”,滑动变阻器R2上标有“20Ω 1A”字样.当闭合S、S1,滑动变阻器的滑片打到最右端时,灯泡L刚好正常发光,电流表的示数1A.(电源电压、灯泡电阻不变)求:(1)灯泡L的额定电流是多少?
(2)电源电压是多少?
(3)电阻R1的阻值是多少?
(4)当闭合S,断开S1,滑动变阻器的滑片打到最左端时,小灯泡的实际电功率是多少?
【答案】分析:当闭合S、S1,滑片打到最右端时,电路中只有R和灯泡L并联,灯刚好正常发光,知道灯的铭牌,可求灯的电阻和正常发光时通过的电流和电源电压,当闭合S,断开S1,滑动变阻器的电阻全连入,与灯L串联,根据欧姆定律求解.
解答:解:(1)
(2)当闭合S、S1,滑片打到最右端时滑动变阻器连入电阻为0,灯泡L刚好正常发光,
U=U额=6V,IR1=I-IL=1A-0.6A=0.4A
(3)
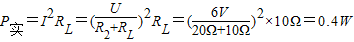
(4)当闭合S,断开S1,滑动变阻器的滑片打到最左端时(全连入电阻)R2=20Ω,
R2和RL串联

答:(1)灯泡L的额定电流是0.6A;
(2)电源电压是6V
(3)电阻R1的阻值是15Ω
(4)当闭合S,断开S1,滑动变阻器的滑片打到最左端时,小灯泡的实际电功率是0.4W
点评:电路动态分析:(1)开关闭合时的影响:与之串联的用电器接入电路;(2)滑动变阻器P在右端不连入电阻,P在左端全连入电阻.分析清楚画出等效电路图是解题的关键
解答:解:(1)
(2)当闭合S、S1,滑片打到最右端时滑动变阻器连入电阻为0,灯泡L刚好正常发光,
U=U额=6V,IR1=I-IL=1A-0.6A=0.4A
(3)
(4)当闭合S,断开S1,滑动变阻器的滑片打到最左端时(全连入电阻)R2=20Ω,
R2和RL串联
答:(1)灯泡L的额定电流是0.6A;
(2)电源电压是6V
(3)电阻R1的阻值是15Ω
(4)当闭合S,断开S1,滑动变阻器的滑片打到最左端时,小灯泡的实际电功率是0.4W
点评:电路动态分析:(1)开关闭合时的影响:与之串联的用电器接入电路;(2)滑动变阻器P在右端不连入电阻,P在左端全连入电阻.分析清楚画出等效电路图是解题的关键
练习册系列答案
相关题目