题目内容

如图所示电路中,电源电压U=4.5V,且保持不变,定值电阻R1=5Ω,变阻器R2最大阻值为20Ω,电流表量程为0~0.6A,电压表量程为0~3V。为保护电表,变阻器接入电路的阻值范围是(  )

A.0Ω~10Ω    B.0Ω~20Ω    C.5Ω~20Ω    D.2.5Ω~10Ω

 

【答案】

D

【解析】

试题分析:本电路是电阻R1、R2串联,电流表测串联电流,电压表测的是变阻器R2两端电压。

当电路中电流最大,电流表示数为0.6A,电路中的电阻最小。

电路的总电阻,变阻器R2的阻值为R2=R-R1=7.5Ω-5Ω=2.5Ω

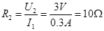
当电路中电流最小,电路的总电阻最大,电压表示数最大,R2两端电压为3V

此时电路中电流,R2的阻值为

所以R2阻值的变化范围为2.5Ω~10Ω

考点:串联电路变化范围

 

练习册系列答案
相关题目

违法和不良信息举报电话:027-86699610 举报邮箱:58377363@163.com

精英家教网