题目内容
在⊙O的内接△ABC中,AB+AC=12,AD⊥BC,垂足为D,且AD=3,设⊙O的半径为y,AB的长为x。
(1)求y关于x的函数关系式;
(2)当AB的长等于多少时,⊙O的面积最大,并求出⊙O的最大面积。
(2)当AB的长等于多少时,⊙O的面积最大,并求出⊙O的最大面积。
解:(1)作直径AE,连接CE,则∠ACE=90°,
∵AD⊥BC,
∴∠ACE=∠ADB,
又∠B=∠E,
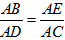
∴△ABD∽△AEC,
∴
即
,
∴
;
(2)当
时,y最大为6,
∴⊙O的最大面积为36π。
∵AD⊥BC,
∴∠ACE=∠ADB,
又∠B=∠E,
∴△ABD∽△AEC,
∴
∴
(2)当
∴⊙O的最大面积为36π。
练习册系列答案
相关题目
A、1+
| ||||
B、
| ||||
C、
| ||||
D、
|