题目内容
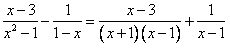
对于试题:“先化简,再求值:
,其中x=2.”某同学写出了如下解答:




她的解答正确吗?如不正确,请你写出正确解答.
她的解答正确吗?如不正确,请你写出正确解答.
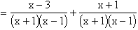
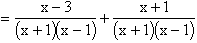
解: 不正确.正确的解答为:




练习册系列答案
相关题目