题目内容
如图,直角三角形三边上的半圆面积之间有什么关系?
解:先分别求出 3个半圆的面积.然后再找出它们之间的关系.
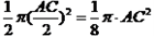
以直角边AC为直径的半圆面积为
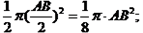
以直角边BC为直径的半圆面积为
以斜边AB为直径的半圆面积为
由勾股定理,可得
即:两直角边上的半圆面积之和等于斜边上半圆的面积.
以直角边AC为直径的半圆面积为
以直角边BC为直径的半圆面积为
以斜边AB为直径的半圆面积为
由勾股定理,可得
即:两直角边上的半圆面积之和等于斜边上半圆的面积.
练习册系列答案
相关题目
| A、Sl+S2>S3 | B、Sl+S2<S3 | C、S1+S2=S3 | D、S12+S22=S32 |