搜索
题目内容
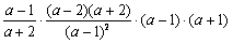
先化简再求值:
·
÷
,其中a满足a
2
-a=0。
试题答案
相关练习册答案
解:原式=
=(a-1)(a+1)=a
2
-a-2
∵a
2
-a=0,原式=0-2=-2
练习册系列答案
点知教育中考试卷汇编及详解系列答案
南通小题课时作业本系列答案
名师面对面同步课堂系列答案
精英口算卡系列答案
小学生每日10分钟系列答案
天利38套高中名校期中期末联考测试卷系列答案
口算题应用题天天练神机妙算系列答案
应用题点拨系列答案
培优新方法系列答案
状元及第系列答案
相关题目
(1)计算:
(π-3.14
)
0
-(-
1
2
)
-1
+
8
cos45°
.
(2)先化简再求值:
(
2x
x-1
-
x
x+1
)÷
x
x
2
-1
,其中
x=
2
-3
.
(2012•响水县一模)先化简再求值:化简
a-1
a
÷(a-
2a-1
a
)
,然后在0,1,2,3中选一个你认为合适的值,代入求值.
①先化简再求值:求
1+
a
2
-
b
2
a
2
-ab
÷
1
a
的值,其中a=2,b=-1;
②解不等式组
3-(2x-1)≥-2
-10+2(1-x)<3(x-1)
,并把解集在数轴上表示出来.
(2012•龙湾区二模)(1)计算:
|-2|-(1+
2012
)
0
+
9
(2)先化简再求值:
1
m+1
+
2
m
2
-1
,其中m=-2.
先化简再求值:(7x
2
-4xy+2y
2
)-2(x
2
-
3
2
y
2
),其中x=1,y=-1.
关 闭
试题分类
高中
数学
英语
物理
化学
生物
地理
初中
数学
英语
物理
化学
生物
地理
小学
数学
英语
其他
阅读理解答案
已回答习题
未回答习题
题目汇总
试卷汇总
练习册解析答案