题目内容
用换元法解方程
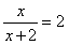
。
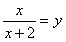
解:设
,
则原方程可化为
,
解得:
,
,
当
时,即
,
去分母,得
,∴x=-4;
当
时,即
,
去分母,得
,∴x=-3,
经检验,
,
都是原方程的解,
所以,原方程的解是
,
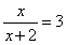
。
则原方程可化为
解得:
当
去分母,得
当
去分母,得
经检验,
所以,原方程的解是
练习册系列答案
相关题目
用换元法解方程(x+
)2-(x+
)=2,若设a=x+
,则方程可化为( )
| 3 |
| x |
| 3 |
| x |
| 3 |
| x |
| A、a2+a+2=0 |
| B、a2-a+2=0 |
| C、a2-a-2=0 |
| D、a2+a-2=0 |
用换元法解方程(x-
)2-3x+
+2=0时,如果设x-
=y,那么原方程可转化( )
| 1 |
| x |
| 3 |
| x |
| 1 |
| x |
| A、y2+3y+2=0 |
| B、y2-3y-2=0 |
| C、y2+3y-2=0 |
| D、y2-3y+2=0 |