搜索
题目内容
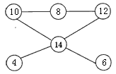
把4、6、8、10、12这五个数填在○里,使每条直线上各数的和是30。
试题答案
相关练习册答案
练习册系列答案
课课练与单元测试系列答案
世纪金榜小博士单元期末一卷通系列答案
单元测试AB卷台海出版社系列答案
黄冈新思维培优考王单元加期末卷系列答案
名校名师夺冠金卷系列答案
小学英语课时练系列答案
培优新帮手系列答案
天天向上一本好卷系列答案
小学生10分钟应用题系列答案
课堂作业广西教育出版社系列答案
相关题目
下表是小丽家2013年每月的支出,请你估计出小丽家2013年的总支出.
月
1
2
3
4
5
6
7
8
9
10
11
12
支出额(元)
980
1030
990
1020
970
1000
950
960
1100
920
940
900
估计值
11800
11800
元,准确值
11760
11760
元.
把你计算的过程写一写.
在下表中,把6的倍数涂上颜色.
1
2
3
4
5
6
7
8
9
10
11
12
13
14
15
16
17
18
19
20
21
22
23
24
25
26
27
28
29
30
31
32
33
34
35
36
37
38
39
40
41
42
43
44
45
46
47
48
49
50
6的倍数都是2的倍数吗?也都是3的倍数吗?想一想:6的倍数有什么特征?
把2、4、6、8、10、12这六个数字依次写在一个立方体的正面、背面、两个侧面以及两个底面上,然后把立方体展开,如图,最左边的正方形上的数字是12,则最右边的正方形上的数字是
4
4
.
(2012?靖江市)某煤矿2007年1-12月的产煤量如下:
月 份
1
2
3
4
5
6
7
8
9
10
11
12
产煤量(万吨)
36
38
42
44
41
42
43
37
42
40
42
45
(1)平均每月产煤多少万吨?
(2)这组数据的众数是多少?中位数是多少?
(3)根据2007年的生产情况,你认为该煤矿应把2008年的月产量定为多少万号比较合适?
关 闭
试题分类
高中
数学
英语
物理
化学
生物
地理
初中
数学
英语
物理
化学
生物
地理
小学
数学
英语
其他
阅读理解答案
已回答习题
未回答习题
题目汇总
试卷汇总
练习册解析答案