搜索
题目内容
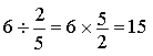
下面的计算对吗?
(
)
试题答案
相关练习册答案
答案:F
解析:
练习册系列答案
帮你学单元目标检测题AB卷系列答案
精彩练习就练这一本系列答案
名校调研期末冲刺系列答案
能力评价系列答案
唐印文化课时测评系列答案
小学霸系列答案
小学教学新思维检测卷快乐学习系列答案
新课标同步伴你学系列答案
8年沉淀1年突破单元同步夺冠卷系列答案
导学与测试系列答案
相关题目
下面的计算对吗?如果不对,在题的下面画“×”,并改正过来.
53.56÷52=1.3
改正:
×
×
.
下面的计算对吗,把错误的改正过来
下面的计算对吗?把不对的改正过来.
30.65-0.65×12
=30×12
=360
3.7×2.56-2.3
=94.72-2.3
=92.42.
下面的计算对吗?不对的改正过来.
下面的计算对吗?把错的改正过来
关 闭
试题分类
高中
数学
英语
物理
化学
生物
地理
初中
数学
英语
物理
化学
生物
地理
小学
数学
英语
其他
阅读理解答案
已回答习题
未回答习题
题目汇总
试卷汇总
练习册解析答案