题目内容
| 脱式计算。(能简算的要简算) | ||||
|
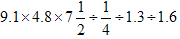
| (1) =43.68×7.5÷0.25÷1.3÷1.6 =630 |
(2) =1÷2.5 =0.4 |
| (3) =0.75×(65+34+1) =75 |
(4) =66-24 =42 |
练习册系列答案
相关题目
题目内容
| 脱式计算。(能简算的要简算) | ||||
|
| (1) =43.68×7.5÷0.25÷1.3÷1.6 =630 |
(2) =1÷2.5 =0.4 |
| (3) =0.75×(65+34+1) =75 |
(4) =66-24 =42 |