ÌâÄ¿ÄÚÈÝ
Î侯սʿ³ËÒ»³å·æÖÛ´ÓAµØÄæÁ÷¶øÉÏ£¬Ç°ÍùCµØÓª¾ÈÊÜÀ§ÈºÖÚ£¬Í¾¾BµØÊ±£¬±ã°ÑËù´øµÄ¾ÈÉú·¤·ÅÏ£¬BµØÊÜÀ§ÈºÖڳ˾ÈÉú·¤Æ¯Á÷ÏòAµØ£¬³å·æÖÛ¼ÌÐøÇ°½ø£¬µ½CµØ½Óµ½ÈºÖÚºóÁ¢¼´·µ»Ø AµØ£¬Í¾ÖÐÓë¾ÈÉú·¤ÏàÓö£¬³å·æÖۺ;ÈÉú·¤¾àAµØµÄ¾àÀëy£¨Ç§Ã×£©ºÍ³å·æÖÛ³ö·¢ºóËùÓÃʱ¼äx£¨·Ö£©Ö®¼äµÄ¹ØÏµÈçͼËùʾ¡£¼ÙÉèÓª¾ÈȺÖÚµÄʱ¼ä²»Ö£¬Ë®Á÷ËÙ¶ÈºÍ³å·æÖÛÔÚ¾²Ë®ÖеÄËٶȲ»±ä¡£
£¨1£©ÇëÖ±½Óд³ö³å·æÖÛ´ÓAµØµ½CµØËùÓõÄʱ¼äΪ____·ÖÖÓ
£¨2£©ÇóË®Á÷µÄËÙ¶È¡£
£¨3£©³å·æÖÛ½«CµØÈºÖÚ°²È«Ë͵½AµØºó£¬ÓÖÁ¢¼´È¥½ÓÓ¦¾ÈÉú·¤¡£¼ÙÉèȺÖÚÉÏÏ´¬µÄʱ¼ä²»¼Æ£¬Çó³å·æÖÛÔÚ¾àÀëAµØ¶àÔ¶´¦Óë¾ÈÉú·¤µÚ¶þ´ÎÏàÓö£¿
£¨1£©ÇëÖ±½Óд³ö³å·æÖÛ´ÓAµØµ½CµØËùÓõÄʱ¼äΪ____·ÖÖÓ
£¨2£©ÇóË®Á÷µÄËÙ¶È¡£
£¨3£©³å·æÖÛ½«CµØÈºÖÚ°²È«Ë͵½AµØºó£¬ÓÖÁ¢¼´È¥½ÓÓ¦¾ÈÉú·¤¡£¼ÙÉèȺÖÚÉÏÏ´¬µÄʱ¼ä²»¼Æ£¬Çó³å·æÖÛÔÚ¾àÀëAµØ¶àÔ¶´¦Óë¾ÈÉú·¤µÚ¶þ´ÎÏàÓö£¿
£¨1£©24£¬12¡Á£¨20¡Â10£©=24£¨·Ö£©
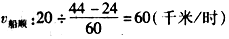
£¨2£©
£¬
V´¬£º£¨50+60£©¡Â2=55£¨Ç§Ã×£¯Ê±£©
VË®£º£¨60-50£©¡Â2=5£¨Ç§Ã×£¯Ê±£©
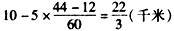
£¨3£©´¬·µ»ØÊ±¾ÈÉú·¤¾àAµØµÄ¾àÀ룺
µÚ¶þ´ÎÏàÓö¾àAËýµÄ·³Ì£º
¡Â£¨50+5£©¡Á50=6
£¨Ç§Ã×£©
£¨2£©
V´¬£º£¨50+60£©¡Â2=55£¨Ç§Ã×£¯Ê±£©
VË®£º£¨60-50£©¡Â2=5£¨Ç§Ã×£¯Ê±£©
£¨3£©´¬·µ»ØÊ±¾ÈÉú·¤¾àAµØµÄ¾àÀ룺
µÚ¶þ´ÎÏàÓö¾àAËýµÄ·³Ì£º
Á·Ï°²áϵÁдð°¸
Ïà¹ØÌâÄ¿