搜索
题目内容
脱式计算。(能简算的要简算)
(1)
(2)
(3)
(4)
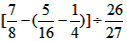
(5)
×
+
÷6
(6)
试题答案
相关练习册答案
(1)
=
÷
=1
(2)
=(
-
)÷
=
(3)
=35+18
=53
(4)
=
×5
=14
(5)
×
+
÷6
=
×1
=
(6)
=20×
=3
练习册系列答案
湘教考苑中考总复习系列答案
湘岳中考系列答案
小单元复习手册系列答案
小考必备考前冲刺46天系列答案
钟书金牌寒假作业延边人民出版社系列答案
钟书金牌快乐假期寒假作业吉林教育出版社系列答案
智趣寒假作业云南科技出版社系列答案
智多星快乐寒假新疆美术摄影出版社系列答案
志鸿优化系列丛书寒假作业系列答案
芝麻开花寒假作业江西教育出版社系列答案
相关题目
(2012?顺昌县)脱式计算.(能简算的要简算)
①14×75-624÷39
②
5
7
÷9+
4
7
×
1
9
③
2
3
+(
5
6
-
3
4
)÷
3
8
④
7
11
÷[
2
5
-(1-
7
10
)].
脱式计算.(能简算的要简算.)
3
20
+
2
3
+
7
20
6
7
+
5
6
-
1
6
1-
1
5
-
1
5
-
1
4
.
脱式计算:(能简算的要简算)
①2.4×1.5+3.6÷1.5
②0.32×0.25+0.08÷4
③7.38-5.14+3.62-2.86
④5.4÷[0.51÷(1.2-1.03)].
脱式计算.(能简算的要简算.)
(1)(
1
2
-
1
3
)÷
1
3
+
1
6
(2)19÷(
3
4
+
5
6
)
(3)55
11
14
÷11
(4)0.6×
18
25
+60%×
6
25
+
3
5
×
1
25
(5)(
1
3
+
1
8
-
1
6
)×24
(6)5×(
2
15
+
1
20
)-
5
12
.
脱式计算,注意能简算的要简算.
0.8÷
8
9
÷
4
15
[4-(
3
4
-
3
8
)]×
4
29
(
3
8
+
5
6
-
1
4
)×24
15-
4
5
×
2
3
-
7
15
3
11
÷
4
7
+
8
11
×
7
4
9×(
5
9
+
6
7
)×7.
关 闭
试题分类
高中
数学
英语
物理
化学
生物
地理
初中
数学
英语
物理
化学
生物
地理
小学
数学
英语
其他
阅读理解答案
已回答习题
未回答习题
题目汇总
试卷汇总
练习册解析答案