题目内容

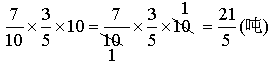
一公顷森林一天可释放吨氧气.照这样计算,公顷森林10天可释放氧气吨?

(填写分数时,先填分子,后填分母)

答案:21,5
解析:


提示:

我们可以算出公顷森林一天释放氧气的数量,再计算公顷森林10天可释放氧气的数量,列式为.按照分数混合运算的顺序,这道算式在计算时应从左往右依次计算,但观察数据我们可以发现,如果将第一个因数的分母和第三个因数10可以直接约分,使计算变得简便.


练习册系列答案
相关题目

违法和不良信息举报电话:027-86699610 举报邮箱:58377363@163.com

精英家教网