题目内容
(分数先填分子,后填分母.)
解方程。
x- x=(分数先填分子,后填分母)
下面的题是把什么看成单位“
小兰看了一本书的
(分数先填分子,后填分母)
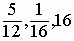
直接写出得数.(分数先填分子,后填分母)
下列卡片背面完全相同,将卡片全部数字朝下放在桌上,任意抽取一张卡片。
(
填一填。(分数先填分子,后填分母)