题目内容

分数,先填分子,后填分母

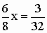
一个数的,这个数是

答案:1,8
解析:

解:设这个数为x

答:这个数是

解题时,如果不列方程,也可以根据除法的意义,两个因数的积是,其中的一个因数是,要求另一个因数,用除法计算,直接列出算式:


提示:

分数除法的计算法则:甲数除以乙数(0除外)等于甲数乘乙数的倒数.

分数四则运算的运算顺序:分数四则混合运算的顺序和整数相同.

(1)在没有括号的算式里,只有加、减法或者只有乘、除法,都要从左往右按顺序计算.

(2)在没有括号的算式里,有乘、除法和加、减法,要先算乘、除法.

(3)算式里有括号的,要先算括号里面的.


练习册系列答案
相关题目

违法和不良信息举报电话:027-86699610 举报邮箱:58377363@163.com

精英家教网