搜索
题目内容
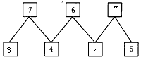
试一试。
试题答案
相关练习册答案
练习册系列答案
寒假学习与应用系列答案
活动填图册系列答案
有效课堂精讲精练系列答案
新课程初中物理同步训练系列答案
单元测评四川教育出版社系列答案
系列答案
锁定100分小学毕业模考卷系列答案
初中学业水平考试历史与社会思想品德精讲精练系列答案
精华讲堂系列答案
同步精练课时作业达标训练系列答案
相关题目
同学们,到现在为止,我们已经认识了很多平面图形,你能在下面表格中任意画出三个并求出它们的面积吗?试一试吧!(每一小格为面积为1平方厘米的正方形)
寒假,小江学会了用电脑打字.
(1)这天,她用7分钟打了一篇日记,这篇日记有多少个字?
(2)你会用电脑打字吗?试一试,你每分钟能打多少个字?照这样计算,你7分钟一共能打多少个字呢?
如图是一个半圆,你能利用圆规把这个圆画完整吗?试一试,并求出整个圆的周长.
将一张正方形的纸剪成4个一样大小的三角形,用这些三角形还可以拼出哪些图形?试一试,画一画
关 闭
试题分类
高中
数学
英语
物理
化学
生物
地理
初中
数学
英语
物理
化学
生物
地理
小学
数学
英语
其他
阅读理解答案
已回答习题
未回答习题
题目汇总
试卷汇总
练习册解析答案