搜索
题目内容
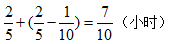
孙小红做语文作业用了
小时,做数学作业比做语文作业少用了
小时,她做这两种作业一共用了多少小时?
试题答案
相关练习册答案
练习册系列答案
名师特攻冲刺100分系列答案
金榜一号同步单元全程达标测试AB卷系列答案
亮点激活3加1大试卷系列答案
同步跟踪全程检测系列答案
通城学典课时新体验系列答案
亮点给力提优课时作业本系列答案
神农牛皮卷期末考向标系列答案
金钥匙课课通系列答案
15天巧夺100分系列答案
小学夺冠AB卷系列答案
相关题目
关 闭
试题分类
高中
数学
英语
物理
化学
生物
地理
初中
数学
英语
物理
化学
生物
地理
小学
数学
英语
其他
阅读理解答案
已回答习题
未回答习题
题目汇总
试卷汇总
练习册解析答案