题目内容
(分数,先填分子,后填分母)
比较下面每组中几个分数的大小,并按从大到小的顺序排列出来.
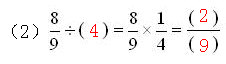
按下面的步骤进行计算。(再把最后的得数与开始的数比较,你能发现什么?你知道为什么吗?
6
(1)
(2)
(3)
(带分数,先填整数部分,再填分子,最后填分母)
校园里有