题目内容
先在方框里填上适当的数,然后写出综合算式.

综合算式______ 综合算式______.
综合算式______ 综合算式______.
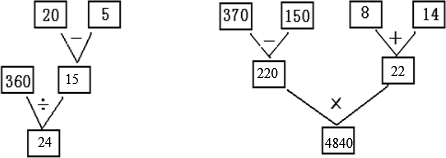
(1)360÷(20-5)
=360÷15
=24;
(2)(370-150)×(8+14)
=220×22
=4840;

故答案为:360÷(20-5);(370-150)×(8+14).
=360÷15
=24;
(2)(370-150)×(8+14)
=220×22
=4840;
故答案为:360÷(20-5);(370-150)×(8+14).
练习册系列答案
相关题目