搜索
题目内容
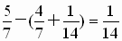
从
里面减去
与
的和,结果是
?
(
分数,先填分子,后填分母
)
试题答案
相关练习册答案
答案:1,14
解析:
练习册系列答案
名校课堂系列答案
西城学科专项测试系列答案
小考必做系列答案
小考实战系列答案
小考复习精要系列答案
小考总动员系列答案
小升初必备冲刺48天系列答案
68所名校图书小升初高分夺冠真卷系列答案
伴你成长周周练月月测系列答案
小升初金卷导练系列答案
相关题目
列式计算.
(1)从
里面减去
与
的和.差是多少?
(2)一个数加上
的和比3少
,这个数是多少?
列式计算.从
里面减去
与
的和.差是多少?
列式计算:
(1)从
里面减去
与
的和.差是多少?
(2)一个数加上
的和比3少
,这个数是多少?
(3)从
与
的差里减去一个数得
,这个数是多少?(列方程解)
(4)有一个数减去
以后,比
与
的差多
,这个数是多少?
从
里面减去
与
的和,差是多少?
关 闭
试题分类
高中
数学
英语
物理
化学
生物
地理
初中
数学
英语
物理
化学
生物
地理
小学
数学
英语
其他
阅读理解答案
已回答习题
未回答习题
题目汇总
试卷汇总
练习册解析答案