搜索
题目内容
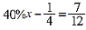
解方程。
(1)
(2)
试题答案
相关练习册答案
(1)
解:x=
(2)
解:x=
练习册系列答案
黄冈经典阅读系列答案
文言文课外阅读特训系列答案
轻松阅读训练系列答案
南大教辅初中英语任务型阅读与首字母填空系列答案
初中英语听力与阅读系列答案
领航英语阅读理解与完形填空系列答案
英语拓展听力与阅读系列答案
阅读组合突破系列答案
初中英语阅读系列答案
全程探究阅读系列答案
相关题目
解方程.
5(x-3.5)=26.5
4x-2.4×4=25.6
(x-6)÷4=8
2x+1.6×8=15.
(2012?安徽模拟)解方程:
6×1.5+0.4x=17;
4:
2
3
=x:
1
6
;
x-
1
4
x=
5
6
.
解方程:
122-x-19=(x-19)×5
3.5x+2=4x-1.
解方程:
8x-2=14
0.5y+3y=7.
(2012?金湖县模拟)解方程.
2
5
+
3
5
χ=
6
5
42:
7
5
=χ:
5
6
.
关 闭
试题分类
高中
数学
英语
物理
化学
生物
地理
初中
数学
英语
物理
化学
生物
地理
小学
数学
英语
其他
阅读理解答案
已回答习题
未回答习题
题目汇总
试卷汇总
练习册解析答案