搜索
题目内容
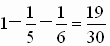
1
吨水泥,第一次用去
吨,第二次用去
吨,还剩下
吨?
(
分数,先填分子,再填分母
)
试题答案
相关练习册答案
答案:19,30
解析:
(
吨
)
练习册系列答案
期末赢家系列答案
天天向上提分金卷系列答案
新思路辅导与训练系列答案
说明与检测系列答案
全程优选测试卷系列答案
沸腾英语系列答案
考点同步解读系列答案
同步导学创新学习系列答案
学习总动员单元复习专项复习期末复习系列答案
课时周测月考系列答案
相关题目
只列式不计算.
(1)一条路已修了7.5千米,比剩下的3倍少2.4千米.剩下多少千米?
(2)学校买来180本图书,其中文艺书占
1
3
,科技书占25%.其它书多少本?
(3)某水泥厂在一星期里,前3天共生产水泥,0.48万吨,后4天平均每天生产0.19万吨.这星期平均每天生产水泥多少万吨?
(4)一根铁丝,第一次用去12.8米,比第二次多用去25%.第二次用去多少米?
关 闭
试题分类
高中
数学
英语
物理
化学
生物
地理
初中
数学
英语
物理
化学
生物
地理
小学
数学
英语
其他
阅读理解答案
已回答习题
未回答习题
题目汇总
试卷汇总
练习册解析答案