搜索
题目内容
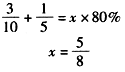
与
的和等于一个数的80%,求这个数。(用方程解)
试题答案
相关练习册答案
解:设这个数是x。
练习册系列答案
中考试题分类精华卷系列答案
第1卷单元月考期中期末系列答案
名校密卷小升初模拟试卷系列答案
68所名校图书小学毕业升学必做的16套试卷系列答案
高分计划初中文言文提分训练系列答案
夺冠百分百中考试题调研系列答案
新阅读训练营系列答案
口算题卡每天100道系列答案
中考夺标最新模拟试题系列答案
分层课课练系列答案
相关题目
(2010?安次区模拟)只列式不计算
(1)37.5与62.5的和比一个数的
1
4
少20,求这个数.
(2)5.46除10.92 的商减去1.2的50%,差是多少?
(3)一个数的
1
2
与8的差等于5的30%,求这个数.
一个数与8的和的5倍等于102,求这个数.
(2012?新会区模拟)列式计算.
①0.8与0.6的和除以它们的差,商是多少?
②一个数加上它的50%等于7.5,求这个数.(用方程解)
③用30加上25个
4
5
所得的和去除
9
10
,商是多少?
列方程解答.
(1)99.3减去32.6与一个数的积,得到的差等于17.8,这个数是多少?
(2)甲乙丙三个数的和是536.已知甲数比乙数多80,丙数是甲数的120%.求乙数是多少?
只列式不计算
(1)37.5与62.5的和比一个数的
少20,求这个数.
(2)5.46除10.92 的商减去1.2的50%,差是多少?
(3)一个数的
与8的差等于5的30%,求这个数.
关 闭
试题分类
高中
数学
英语
物理
化学
生物
地理
初中
数学
英语
物理
化学
生物
地理
小学
数学
英语
其他
阅读理解答案
已回答习题
未回答习题
题目汇总
试卷汇总
练习册解析答案