搜索
题目内容
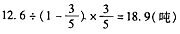
看图列式计算。
试题答案
相关练习册答案
练习册系列答案
高分拔尖课时作业系列答案
轻松课堂单元测试AB卷系列答案
南通小题课时提优作业本系列答案
交大之星课后精练卷系列答案
本土教辅名校学案课时全练系列答案
名校学案高效课时通系列答案
小题狂做系列答案
桂壮红皮书单元达标卷系列答案
一课一案创新导学系列答案
课堂制胜课时作业系列答案
相关题目
某电视机厂去年电视机生产情况统计图
单位:台 1984年1月
看图列式计算:
(1)全年共生产电视机多少台?
(2)平均每月生产电视机多少台?
(3)第四季度比第一季度增产百分之几?
(4)根据以上信息,提出两个数学问题,
并选其中的一个解答.
①
上半年生产电视剧多少台?
上半年生产电视剧多少台?
②
下半年生产电视剧多少台?
下半年生产电视剧多少台?
.
看图列式计算
看图列式计算.
看图列式计算
(1)
乘法算式:
(2)
乘法算式:
(3)
□×□=□元.
看图列式计算
关 闭
试题分类
高中
数学
英语
物理
化学
生物
地理
初中
数学
英语
物理
化学
生物
地理
小学
数学
英语
其他
阅读理解答案
已回答习题
未回答习题
题目汇总
试卷汇总
练习册解析答案