ÌâÄ¿ÄÚÈÝ

·ç¶´ÊµÑéÊÒÖпɲúÉúˮƽ·½ÏòµÄ¡¢´óС¿Éµ÷½ÚµÄ·çÁ¦£®ÏÖ½«Ò»Ì×ÓÐСÇòµÄϸֱ¸Ë·ÅÈë·ç¶´ÊµÑéÊÒ£®Ð¡Çò¿×¾¶ÂÔ´óÓÚϸ¸ËÖ±¾¶£¬ÈçͼËùʾ£®

(1)µ±¸ËÔÚˮƽ·½ÏòÉϹ̶¨Ê±£¬µ÷½Ú·çÁ¦µÄ´óС£¬Ê¹Ð¡ÇòÔÚ¸ËÉÏ×öÔÈËÙÔ˶¯£¬ÕâʱСÇòËùÊܵķçÁ¦ÎªÐ¡ÇòËùÊÜÖØÁ¦µÄ0.5±¶£¬ÇóСÇòÓë¸Ë¼äµÄ¶¯Ä¦²ÁÒòÊý£®

(2)±£³ÖСÇòËùÊÜ·çÁ¦²»±ä£¬Ê¹¸ËÓëˮƽ·½Ïò¼ä¼Ð½ÇΪ37¡ã²¢¹Ì¶¨£¬ÔòСÇò´Ó¾²Ö¹³ö·¢ÔÚϸ¸ËÉÏ»¬Ï¾àÀëxËùÐèʱ¼äΪ¶àÉÙ£¿(sin37¡ã=0.6£¬cos37¡ã=0.8)

´ð°¸£ºÂÔ
½âÎö£º

(1)¦Ì=0.5£»(2)

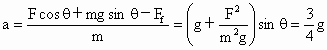
(1)ÉèСÇòËùÊܵķçÁ¦ÎªF£¬ÈçͼËùʾ£¬Ð¡ÇòÖÊÁ¿Îªm£¬¡ßF=¦Ìmg£¬¡à¦Ì=F/mg=0.5£®

(2)Éè¸Ë¶ÔСÇòµÄÖ§³ÖÁ¦Îª£¬Ä¦²ÁÁ¦Îª£¬Ñظ˷½Ïò£¬£¬´¹Ö±¸ËµÄ·½Ïò£¬ÆäÖУ¬¿É½âµÃ

£®

Ó֡ߣ¬¡à£®

·ç¶´ÊµÑéÊÇÄ£Ä⺽¿Õº½Ìì·ÉÐÐÆ÷·ÉÐеIJ»¿ÉȱÉÙµÄʵÑéÉ豸£¬¸ÃÌâ¾ÍÊÇÒÔÕâÑùµÄÏȽøµÄ¿ÆÑ§ÊµÑéÉ豸Ϊ±³¾°£¬À´¿¼²éÅ£¶Ù¶¨ÂɵÄÓ¦Óã®Ñ§ÉúÖ»Òª´ÓÌâ¾³ÖгéÏó³öÀ´£¬½¨Á¢ÀíÏ뻯µÄÐ±ÃæÄ£ÐÍ£¬ÌâÄ¿¼´Ó­Èжø½â£®


Á·Ï°²áϵÁдð°¸
Ïà¹ØÌâÄ¿

Î¥·¨ºÍ²»Á¼ÐÅÏ¢¾Ù±¨µç»°£º027-86699610 ¾Ù±¨ÓÊÏ䣺58377363@163.com

¾«Ó¢¼Ò½ÌÍø