题目内容

(10分)体育课上进行“爬杆”活动,使用了一根质量忽略不计的长杆,竖直固定在地面上(如图)。一质量为40kg的同学(可视为质点)爬上杆的顶端后,自杆顶由静止开始先匀加速再匀减速下滑,滑到竹杆底端时速度刚好为零。通过装在长杆底部的传感器测得长杆对底座的最大压力为460N,最小压力280N,下滑的总时间为3s,求该同学在下滑过程中的最大速度及杆长。(取g =10 m/s2

 

 

【答案】

【解析】

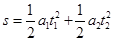
试题分析:设加速下滑过程时间为,加速度大小为;减速下滑过程为,加速度大小为;最大速度为。根据牛顿第二定律得:

      (2分)

        (1分)

     (2分)

       (1分)

       (2分)

解得:        (2分)

考点:牛顿第二定律

 

练习册系列答案
相关题目

违法和不良信息举报电话:027-86699610 举报邮箱:58377363@163.com

精英家教网