ÌâÄ¿ÄÚÈÝ

ÔÚ̽¾¿¼ÓËÙ¶ÈÓëÁ¦¡¢ÖÊÁ¿µÄ¹ØÏµÊµÑéÖУ¬²ÉÓÃÈçͼËùʾµÄʵÑé×°Öã¬Ð¡³µ¼°³µÖÐíÀÂëµÄÖÊÁ¿Óñíʾ£¬Å̼°ÅÌÖÐíÀÂëµÄÖÊÁ¿Óñíʾ£¬Ð¡³µµÄ¼ÓËÙ¶È¿ÉÓÉС³µºóÍ϶¯µÄÖ½´øÓÉ´òµã¼ÆÊ±Æ÷´òÉÏµÄµã¼ÆËã³ö¡£

£¨1£©µ±ÓëµÄ´óС¹ØÏµÂú×ã                          ʱ£¬²Å¿ÉÒÔÈÏΪÉþ¶ÔС³µµÄÀ­Á¦´óСµÈÓÚÅÌÖÐíÀÂëµÄÖØÁ¦¡£

£¨2£©Ò»×éͬѧÔÚ×ö¼ÓËÙ¶ÈÓëÖÊÁ¿µÄ¹ØÏµÊµÑéʱ£¬±£³ÖÅ̼°ÅÌÖÐíÀÂëµÄÖÊÁ¿Ò»¶¨£¬¸Ä±äС³µ¼°³µÖÐíÀÂëµÄÖÊÁ¿£¬²â³öÏàÓ¦µÄ¼ÓËÙ¶È£¬²ÉÓÃͼÏó·¨´¦ÀíÊý¾Ý¡£ÎªÁ˱ȽÏÈÝÒ׵ؼì²é³ö¼ÓËÙ¶ÈÓëÖÊÁ¿µÄ¹ØÏµ£¬Ó¦¸Ã×öÓë                  µÄͼÏó¡£

£¨3£©ÈçÏÂͼ(a)£¬¼×ͬѧ¸ù¾Ý²âÁ¿Êý¾Ý×ö³öµÄͼÏߣ¬ËµÃ÷ʵÑé´æÔÚµÄÎÊÌâÊÇ          

£¨4£©ÒÒ¡¢±ûͬѧÓÃͬһװÖÃ×öʵÑ飬»­³öÁ˸÷×Եõ½µÄͼÏßÈçÏÂͼ(b)Ëùʾ£¬Á½¸öͬѧ×öʵÑéʱµÄÄÄÒ»¸öÎïÀíÁ¿È¡Öµ²»Í¬£¿          ¡£

 

¡¾´ð°¸¡¿

£¨1£©  £¨2£©  £¨3£©Æ½ºâĦ²ÁÁ¦¹ý¶È»òľ°åÇã½Ç¹ý´ó 

£¨4£©Á½Ð¡³µ¼°³µÉϵÄíÀÂëµÄ×ÜÖÊÁ¿²»Í¬

¡¾½âÎö¡¿

ÊÔÌâ·ÖÎö£º£¨1£©ÒÔÕûÌåΪÑо¿¶ÔÏóÓУ¬½âµÃ£»ÒÔΪÑо¿¶ÔÏóÓÐÉþ×ÓµÄÀ­Á¦£¬ÏÔȻֻÓУ¬²ÅÓУ¬²Å¿ÉÒÔÈÏΪÉþ¶ÔС³µµÄÀ­Á¦´óСµÈÓÚÅ̺ÍÅÌÖÐíÀÂëµÄÖØÁ¦£®

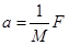
£¨2£©¸ù¾ÝÅ£¶ÙµÚ¶þ¶¨ÂÉ£¬Óë³É·´±È£¬¶ø·´±ÈÀýº¯ÊýͼÏóÊÇÇúÏߣ¬¶ø¸ù¾ÝÇúÏߺÜÄÑÅж¨³ö×Ô±äÁ¿ºÍÒò±äÁ¿Ö®¼äµÄ¹ØÏµ£¬¹Ê²»ÄÜ×÷ͼÏó£»µ«£¬¹ÊÓë³ÉÕý±È£¬¶øÕý±ÈÀýº¯ÊýͼÏóÊǹý×ø±êÔ­µãµÄÒ»ÌõÖ±Ïߣ¬¾Í±È½ÏÈÝÒ×Åж¨×Ô±äÁ¿ºÍÒò±äÁ¿Ö®¼äµÄ¹ØÏµ£¬¹ÊÓ¦×÷ͼÏó.

£¨3£©Í¼ÖÐûÓÐÀ­Á¦Ê±¾Í²úÉúÁ˼ÓËÙ¶È£¬ËµÃ÷ƽºâĦ²ÁÁ¦Ê±Ä¾°åÇã½Ç¹ý´ó£®

£¨4£©ÓÉͼ¿ÉÖªÔÚÀ­Á¦ÏàͬµÄÇé¿öÏ£»¸ù¾Ý¿ÉµÃ£¬¼´Í¼ÏóµÄбÂʵÈÓÚÎïÌåµÄÖÊÁ¿µÄµ¹Êý£¬ÓУ®¹ÊÁ½È˵ÄʵÑéÖÐС³µ¼°³µÖÐíÀÂëµÄ×ÜÖÊÁ¿²»Í¬£®

¿¼µã£º±¾Ì⿼²éÁË¿ØÖƱäÁ¿·¨Ì½¾¿Å£¶ÙµÚ¶þ¶¨ÂÉ¡¢Í¼Ïó¡¢½üËÆ·¨¡£

 

Á·Ï°²áϵÁдð°¸
Ïà¹ØÌâÄ¿
£¨1£©ÓÃÈçͼ1ËùʾװÖÃ̽¾¿¡°¼ÓËÙ¶ÈÓëÁ¦µÄ¹ØÏµ¡±£¬ÒÑ֪ɰºÍɰͱµÄ×ÜÖÊͯΪm£¬Ð¡³µµÄÖÊÁ¿ÎªM£¬ÊµÑéÖÐÓÃɰºÍÃëͰ×ÜÖØÁ¦ÔÏ´óС×÷ΪϸÏß¶ÔС³µÀ­Á¦µÄ´óС£®
¢ÙʵÑéÖÐÒª½øÐÐÖÊÁ¿mºÍMµÄѡȡ£¬ÒÔÏÂ×îºÏÀíµÄÒ»×éÊÇ
 

A£®M=40g£¬m=10g¡¢20g¡¢30g¡¢40g¡¢50g
B£®M=100g£¬m=10g¡¢20g¡¢30g¡¢40g¡¢50g
C£®M=500g£¬m=10g¡¢20g¡¢30g¡¢40g¡¢50g
D£®M=500g£¬m=30g¡¢60g¡¢90g¡¢120g¡¢150g
¢Ú±¾ÊµÑéÖÐÓ¦ÔÚÊÍ·ÅС³µ
 
£¨Ñ¡Ì֮ǰ¡±»ò¡°Ö®ºó¡±£©½Óͨ´òµã¼ÆÊ±Æ÷µÄµçÔ´£®Í¼2ËùʾΪʵÑéÖдò³öµÄÒ»ÌõÖ½´ø£¬A¡¢B¡¢C¡¢D¡¢EΪ¼ÆÊýµã£¬ÏàÁÚ¼ÆÊýµã¼ä»¹ÓÐËĸöµãûÓл­³ö£¬¼ÆÊýµã¼äµÄ¾àÀëÈçͼËùʾ£®ÒÑÖª´òµã¼ÆÊ±Æ÷µÄ¹¤×÷ƵÂÊΪ50Hz£®Ôò
С³µ¼ÓËÙ¶Èa=
 
m/sZ£®£¨½á¹û±£ÁôÁ½Î»ÓÐЧÊý×Ö£©
¢ÛʵÑéʱ£¬Ä³Í¬Ñ§ÓÉÓÚÊèºö£¬ÒÅ©ÁËÆ½ºâĦ²ÁÁ¦ÕâÒ»²½Ö裬Ëû²âÁ¿µÃµ½µÄa-FͼÏ󣬿ÉÄÜÊÇͼ3ÖеÄ
 
ͼÏߣ® £¨Ñ¡Ìî¡°¼×¡±¡¢¡°ÒÒ¡±»ò¡°±û¡±£©
¾«Ó¢¼Ò½ÌÍø
£¨2£©ÔÚ¡°²â¶¨½ðÊôµÄµç×èÂÊ¡±ÊµÑéÖÐ
¢ÙÓÃÂÝÐý²â΢Æ÷²âÁ¿½ðÊôË¿µÄÖ±¾¶£¬½á¹ûÈçͼ¼×Ëùʾ£¬Æä¶ÁÊýΪ
 
mm£»
¢ÚÓ÷ü°²·¨²â½ðÊôË¿µÄµç×èRx£¬ÊµÑéËùÓÃÆ÷²ÄΪ£º
µçÁ÷±í£¨ÄÚ×èÔ¼0.1¦¸£©?
µçѹ±í£¨ÄÚ×èÔ¼3k¦¸£©
µç³Ø×飨µç¶¯ÊÆÎª3V£¬ÄÚ×èÔ¼1¦¸£©
»¬¶¯±ä×èÆ÷R£¨0-20¦¸£¬¶î¶¨µçÁ÷2A£©
¿ª¹Ø¡¢µ¼ÏßÈô¸É
ÀûÓÃÒÔÉÏÆ÷²ÄÕýÈ·Á¬½ÓºÃµç·£¬½øÐвâÁ¿£¬¼Ç¼Êý¾ÝÈçÏ£º
´ÎÊý 1 2 3 4 5 6 7
U/V 0.10 0.30 0.70 1.00 1.50 1.70 2.30
I/A 0.02 0.06 0.15 0.21 0.29 0.33 0.45
¸ù¾ÝÉϱí¿ÉÒÔ¼ÆËã³öRx=
 
¦¸£¬¿ÉÍÆµÃ²âÁ¿Rx²ÉÓõĵç·ÊÇͼ
 
£¨Ñ¡Ìî¡°ÒÒ¡±»ò¡°±û¡±£©
¢Û±¾ÊµÑ鹨ÓÚÎó²îµÄ˵·¨ÕýÈ·µÄÓÐ
 

A£®ÂÝÐý²â΢Æ÷ÊǷdz£¾«ÃܵÄÒÇÆ÷£¬²âÁ¿½ðÊô˿ֱ¾¶Ê±²»´æÔÚÎó²î
B£®ÓÉÓÚµçÁ÷±íºÍµçѹ±íµÄÄÚ×èÒýÆðµÄÎó²îÊôÓÚżȻÎó²î
C£®ÊµÑéÖÐͨµçʱ¼ä²»Ò˹ý³¤£¬ÊÇΪÁ˼õÉÙÒòζȱ仯¶ø´øÀ´µÄÎó²î
D£®ÓÃU-IͼÏó´¦ÀíÊý¾ÝÇó½ðÊôË¿µç×è¿ÉÒÔ¼õСżȻÎó²î£®
¾«Ó¢¼Ò½ÌÍø

Î¥·¨ºÍ²»Á¼ÐÅÏ¢¾Ù±¨µç»°£º027-86699610 ¾Ù±¨ÓÊÏ䣺58377363@163.com

¾«Ó¢¼Ò½ÌÍø