题目内容

如图所示,质量分别为AB两球用轻弹簧连接,A球用细线悬挂起来,两球均处于静止状态.如果将悬挂A球的细线剪断,此时AB两球的瞬时加速度各是多少?

答案:略
解析:

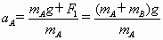
物体在某一瞬间的加速度,由这一时刻的合外力决定,分析细线剪断瞬间两球的受力情况是关键.由于轻弹簧两端连着物体,物体要发生一段位移,需要一定时间,故剪断细线瞬间,弹簧的弹力与剪断前相同.先分析细线未剪断时,AB的受力情况,如图所示,A球受重力、弹簧拉力及细线的拉力B球受重力、弹簧拉力,且

剪断细线瞬间,消失,但弹簧尚未收缩,仍保持原来的形变,即:不变,故B球所受的力不变,此时,而A球的加速度为:

,方向竖直向下.


提示:

牛顿第二定律的核心是加速度与合外力的瞬时对应关系,求瞬时加速度时,当物体受到的某个力发生变化时,可能还隐含着其他力也发生变化,像弹簧、橡皮绳等提供弹力时,由于形变量较大,弹力不会瞬间改变,而细绳、钢丝、轻杆则不同,由于形变量太小,所提供的弹力会在瞬间改变.


练习册系列答案
相关题目

违法和不良信息举报电话:027-86699610 举报邮箱:58377363@163.com

精英家教网