题目内容

据报道,美国航空航天管理局在2008年10月发射月球勘测轨道器(LRO).若以T表示LRO在离月球表面高h处的轨道上做匀速圆周运动的周期,以R表示月球的半径,求:

(1)LRO运行时的向心加速度a

(2)月球表面的重力加速度g

答案:
解析:

  解:(1)向心加速度(2分)

  得:(2分)

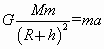
  (2)设月球质量为M,引力常量为G,LRO的质量为m,报据牛顿运动定律,有.

  (2分)

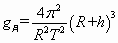
  任意物体静止在月球表面上时.由万有引力定律得:

  (2分)

  联立解得,(2分)


练习册系列答案
相关题目

违法和不良信息举报电话:027-86699610 举报邮箱:58377363@163.com

精英家教网