题目内容

在自来水龙头下放一空罐头盒,调节水龙头,让水一滴一滴地流出,并且调节到使第一滴水碰到盒底的瞬间,第二滴水正好从水龙头口开始下落,且能依次持续续下去.

答案:略
解析:

  ()提出问题

  若给你的测量仪器只有直尺和秒表,如何利用上述仪器,测定重力加速度的大小?

  需测定哪些物理量?写出g的表达式.

  ()猜想与假设

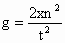
  设两滴水下落的时间间隔为T,水龙头口到地面的距离为x,则有

  ()设计实验

  调节水龙头至符合要求.

  ()实验

  (1)测出n滴水落下的总时间为t,每滴水落下的时间为

  (2)测出水龙头口到地面的距离x

  ()分析与论证

  由,得到表达式

  ()结论

  误差范围内,这个数值很接近重力加速度.


练习册系列答案
相关题目

违法和不良信息举报电话:027-86699610 举报邮箱:58377363@163.com

精英家教网