题目内容

自由下落的物体,自起点开始依次下落三段相等的位移所用的时间的比是

A.1∶3∶5         B.1∶4∶9

C.1∶    D.1∶(-1)∶(-)

 

【答案】

D

【解析】

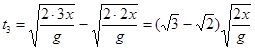
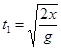
试题分析:设三段相等的位移分别为x,则第一段位移的时间;第二段位移的时间为 ;第三段位移的时间为 。所以下落三段相等的位移所用的时间的比是1∶(-1)∶(-)。

考点:自由落体运动的规律。

 

练习册系列答案
相关题目

违法和不良信息举报电话:027-86699610 举报邮箱:58377363@163.com

精英家教网