题目内容
现有一群处于n=4能级上的氢原子,已知氢原子的基态能量为:E1=-13.6eV,(1)电子在n=4的轨道上运动的动能是多少?
(2)电子实际运动有题中所说的轨道吗?
(3)这群氢原子发光的光谱共有几条谱线?
(4)这群氢原子发出的光子的最大频率是多少?
【答案】分析:(1)根据
求出电子在n=4的轨道上的轨道半径,再根据库仑引力提供向心力,求出电子的动能.
(2)电子没有实际的轨道,这是波尔理论保留了经典粒子观念,这正是波尔模型的局限性.
(3)根据
求出这群氢原子发光的光谱的条数.
(4)从n=4向n=1跃迁,能级差最大,发出的光子频率最大.
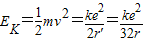
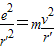
解答:解:(1)电子在n=4的轨道上运动的半径为r′=16r.
根据k
,得
答:电子在n=4的轨道上运动的动能是
.
(2)电子没有实际的轨道,这是波尔理论保留了经典粒子观念,这正是波尔模型的局限性.
(3)
=
=6.
答:这群氢原子发光的光谱共有6条.
(4)从n=4向n=1跃迁,发出的光子频率最大.
根据
代入数据得,γ=3.08×1015Hz
答:这群氢原子发出的光子的最大频率是3.08×1015Hz.
点评:本题考查对玻尔理论的理解和应用能力,关键抓住辐射的光子能量与能级差之间的关系.
(2)电子没有实际的轨道,这是波尔理论保留了经典粒子观念,这正是波尔模型的局限性.
(3)根据
(4)从n=4向n=1跃迁,能级差最大,发出的光子频率最大.
解答:解:(1)电子在n=4的轨道上运动的半径为r′=16r.
根据k
答:电子在n=4的轨道上运动的动能是
(2)电子没有实际的轨道,这是波尔理论保留了经典粒子观念,这正是波尔模型的局限性.
(3)
答:这群氢原子发光的光谱共有6条.
(4)从n=4向n=1跃迁,发出的光子频率最大.
根据
代入数据得,γ=3.08×1015Hz
答:这群氢原子发出的光子的最大频率是3.08×1015Hz.
点评:本题考查对玻尔理论的理解和应用能力,关键抓住辐射的光子能量与能级差之间的关系.
练习册系列答案
相关题目