题目内容
回旋加速器是加速带电粒子的装置,其核心部分是分别与高频交流电两极相连的两个D形金属盒,两盒间狭缝中形成的周期性变化的匀强电场,使粒子在每次通过狭缝时都能得到加速,两D形盒处于垂直于盒底面的匀强磁场中,如图所示,设匀强磁场的磁感应强度为B,D形盒的半径为R,狭缝间的距离为d,匀强电场间的加速电压为U,要增大带电粒子射出时的动能(电荷量为q、质量为m,不计重力),则下列方法中正确的是( )A.增大匀强电场间的加速电压U
B.适当增大狭缝间的距离d
C.增大磁场的磁感应强度B
D.增大D形金属盒的半径R
【答案】分析:带电粒子离开D形盒时的速度最大,根据洛伦兹力通过向心力得出最大速度与什么因素有关.
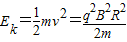
解答:解:根据
得,v=
,则粒子射出时的动能
,最大动能与磁感应强度、D形盒的半径有关,与加速电压、狭缝间的距离无关.故C、D正确,A、B错误.
故选CD.
点评:解决本题的关键知道回旋加速器的原理,知道最大动能与什么因素有关,不能靠感觉判断,需通过推导进行判断.
解答:解:根据
故选CD.
点评:解决本题的关键知道回旋加速器的原理,知道最大动能与什么因素有关,不能靠感觉判断,需通过推导进行判断.
练习册系列答案
相关题目
| A、增大匀强电场间的加速电压 | B、减小狭缝间的距离 | C、增大磁场的磁感应强度 | D、增大D形金属盒的半径 |
| A、质子被加速后的最大速度不可能超过2πRf | ||
B、质子被加速后的最大动能Ek不可能超过
| ||
| C、质子被加速后的最大动能与狭缝间的加速电压、加速次数无关 | ||
| D、改变B和f,该回旋加速器也能用于加速α粒子(即氦核) |