题目内容
如图所示,在一根水平直杆上套着两个轻环,在环下用两根等长的轻绳拴着一个重物。把两环分开放置,静止时杆对a环的摩擦力大小为Ff,支持力为FN。若把两环距离稍微约缩短一些,系统仍处于静止状态,则( )
![]()
A.FN变小
B.FN变大
C.Ff变小
D.Ff变大
【答案】
C
【解析】
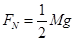
试题分析:设重物的质量为M.
以两个轻环和小球组成的系统为研究对象,竖直方向受到重力和水平横梁对铁环的支持力
,力图如图1所示.根据平衡条件得:
,得到
,可见,水平横梁对铁环的支持力
不变,AB错误;
![]()
以左侧环为研究对象,力图如图2所示.
竖直方向:
;水平方向:
联立得:
,
增大时,
变小.C正确D错误;
考点:动态平衡,力的合成与分解
练习册系列答案
相关题目
如图所示,在一根水平的粗糙的直横梁上,套有两个质量均为m的铁环,两铁环系有等长的细绳,共同拴着质量为M的小球,两铁环与小球均保持静止,现使两铁环间距离增大少许,系统仍保持静止,则水平横梁对铁环的支持力FN和摩擦力f 将( )![]()
| A.FN增大,f不变 | B.FN增大,f增大 |
| C.FN不变,f不变 | D.FN不变,f增大 |