题目内容

已知阳光从太阳照射到地球需500s.试估算太阳的质量.

答案:略
解析:

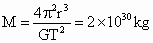
  设太阳的质量为M;地球的质量为m,公转的圆周半径为r.根据万有引力定律与匀速圆周运动可得,又知r=ct=3××500m=1.5×mT=365×24×3600s=3.2×s,所以

  把地球绕太阳的公转,近似看作质点的匀速圆周运动,然后应用万有引力定律进行估算.


练习册系列答案
相关题目

  21世纪国际联合开发月球一项大型的国际航天合作计划重返月球将成为新的航空热点.人类在月球上生存首先要解决呼吸与饮用水的问题.淡水和氧气是人类生存必不可少的物质.月球上既没有水又没有空气,但月球的沙土里含有很多的氧,于是科学家提出了用月球的沙土制造水和氧气的设想.其次是月球基地建设必须保证食物供应.近几年,科学家在空间站进行了大量的生物学试验,先后培育了一百多种“太空植物”,实验证明在失重条件下,植物种子的发芽率更高,生长更快,开花或抽穗时间更早.科学家也对一些动物进行试验,证明在失重条件下不会影响新生命的诞生,最后是建立月球基地需要的能源问题.月球上没有风没有雨,晴朗无阴,终日有阳光照射,而且由于没有大气吸收,太阳的辐射强度大约是地球上的一倍半,因此月球上完全可以用太阳能来照明、供热、供暖、发电,当然必要时还可以在月球上建立核电站.

阅读上文回答下列问题:

(1)月球上科学家估计160t沙土含有15t至16t氧化铁:21%矿物,用从地球上带去的氢气还原氧化铁得到水,水电解制得氧气,一个人每年需0.1t氧气,问160t沙土最多可制得的氧气供多少人使用一年?

(2)未来人在月球基地上培育植物,植物生存的非生物因素是什么?设想一下植物所需水从何得来?写出光合作用的方程式,其中CO2从何处得来?光合作用的氧气可供植物干什么?

(3)月球的重力加速度是地球的1/6,已知月球半径为1740km,地球的重力加速度为9.8m/s2,求地球人乘飞船到月球时速度多大?

(4)有一太阳能热水器,接受来自太阳的辐射能,使水升高温度,设阳光垂直照射到月球上传播方向上的光流强度为3.8×103W/m2,热水器受阳光垂直照射的面积为1m2,认为阳光一直垂直照射热水器,且辐射太阳能的70%转化为水的内能,照射半小时,可使100kg水升高多少度?(已知c(H2O)=4.2×103kJ/kg℃)

违法和不良信息举报电话:027-86699610 举报邮箱:58377363@163.com

精英家教网