题目内容

P、Q是一列简谐横波中的两点,相距9 m,它们各自的振动图线如图所示,那么这列波的波长为多少?波速是多少?

 

 

【答案】

【解析】

试题分析:若Q比P离波源近,则P、Q距离满足: (2分)

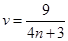
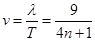
(n=0,1,2,…)   (1分)

波速(n=0,1,2,…)   (2分)

若P此Q离波源近,则P、Q距离满足   (2分)

(n=0,1,2,…)    (1分)

波速(n=0,1,2,…)    (2分)

未说明n的取值扣2分。

考点:本题考查振动图象、波的多解性。

 

练习册系列答案
相关题目

违法和不良信息举报电话:027-86699610 举报邮箱:58377363@163.com

精英家教网