题目内容
如图所示,有M和N两颗质量相等的人造地球卫星,都绕地球做匀速圆周运动.两颗卫星相比较( )A.M的线速度较大
B.M的角速度较大
C.N的线速度较大
D.N受到的万有引力较大
【答案】分析:推导出来线速度,角速度,以及万有引力的表达式,进而比较两个卫星的这三个量关系.
解答:解:
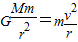
A:由万有引力提供向心力:
,解得:
,可知半径大的线速度小,故M的线速度较小,故A错误
B:由
ω2解得:ω=
,可知半径大的角速度小,故M的角速度较小,故B错误.
C:由A知道C正确,故C正确
D由万有引力表达式
,可知,质量相等,半径小的万有引力大,故N受的万有引力大,故D正确
故选CD
点评:本题就是对万有引力充当向心力的一个公式的综合应用,锻炼公式应用的熟练程度,另有一个简单方法就是,除了周期随半径增大外,其余都是随半径增大而减小.
解答:解:
A:由万有引力提供向心力:
B:由
C:由A知道C正确,故C正确
D由万有引力表达式
故选CD
点评:本题就是对万有引力充当向心力的一个公式的综合应用,锻炼公式应用的熟练程度,另有一个简单方法就是,除了周期随半径增大外,其余都是随半径增大而减小.
练习册系列答案
相关题目